| Startseite Rechenschieber Trigonometrie Navigation Seezeichen Sprechfunk Gezeiten | ||||||||||||||||||||||||||||||||||||||||||||||||||||||||||||||||||||||||||||||||||||||||||||||||||||||||||||||||||||||||||||||||||||||||||||||||||||||||||||||||||||||||||||||||||||||||||||||||||||||||||||||||||||||||||||||||||||||||||||||||||||||||||||||||||||||||||||||||||||||||||||||||||||||||||||||||||||||||||||||||||||||||||||||||||
| Kegelschnitte Ellipse Keplers Weltbild Keplers Epitomes Apollonius Inhalt & Lehrsätze C. F. Gauss Theorie | ||||||||||||||||||||||||||||||||||||||||||||||||||||||||||||||||||||||||||||||||||||||||||||||||||||||||||||||||||||||||||||||||||||||||||||||||||||||||||||||||||||||||||||||||||||||||||||||||||||||||||||||||||||||||||||||||||||||||||||||||||||||||||||||||||||||||||||||||||||||||||||||||||||||||||||||||||||||||||||||||||||||||||||||||||
|
||||||||||||||||||||||||||||||||||||||||||||||||||||||||||||||||||||||||||||||||||||||||||||||||||||||||||||||||||||||||||||||||||||||||||||||||||||||||||||||||||||||||||||||||||||||||||||||||||||||||||||||||||||||||||||||||||||||||||||||||||||||||||||||||||||||||||||||||||||||||||||||||||||||||||||||||||||||||||||||||||||||||||||||||||
VorredeNach Entdeckung der planetarischen Bewegungsgesetze fehlten dem Geiste Kepler′s die Mittel nicht, um die Elemente der einzelnen Planeten aus den Beobachtungen abzuleiten. Tycho Brahe, von dem die praktische Astronomie zu einer bis dahin ungekannten Höhe erhoben war, hatte alle Planeten eine lange Reihe von Jahren hindurch mit grösster Sorgfalt und einer solchen Ausdauer beobachtet, dass für Kepler, als eines solchen Schatzes würdigsten Erben, nur die Sorge der Auswahl dessen verblieb, was zur Schaffung einer Vorlage behuf Erreichung jeden Zieles geeignet war. Diese Arbeit wurde gar sehr dadurch erleichtert, dass die mittleren Bewegungen der Planeten schon lange mit grösster Schärfe durch die ältesten Beobachtungen bestimmt waren. Die Astronomen, welche später als Kepler es unternahmen, die Planetenbahnen auf Grund neuerer und vollkommnerer Beobachtungen noch genauer auszumessen, wurden dabei durch die nämlichen, oder durch noch bessere Hülfsmittel unterstützt. Denn es handelte sich nicht mehr darum, noch gänzlich unbekannte Elemente zu ermitteln, sondern es brauchten nur die bekannten um Kleinigkeiten verbessert und in engere Grenzen eingeschlossen zu werden. Das von dem grossen Newton entdeckte Princip der allgemeinen Schwere eröffnete ein ganz neues Feld und lehrte, dass denselben Gesetzen, welche nach Kepler′s Erfahrung die fünf Planeten regierten, nur mit einer kleinen Aenderung alle Himmelskörper nothwendig gehorchen müssen, wenigstens die, deren Bewegungen nur von der Kraft der Sonne gelenkt werden. Es hatte nämlich, auf das Zeugniss der Beobachtungen sich verlassend, Kepler ausgesprochen, dass die Bahn eines jeden Planeten eine Ellipse sei, in der die Flächenräume um die, den einen Brennpunkt der Ellipse einnehmende Sonne gleichförmig und zwar so beschrieben werden, dass die Quadrate der Umlaufzeiten in verschiedenen Ellipsen sich verhalten wie die Cubikzahlen der grossen Halbaxen. Dagegen zeigte Newton, durch Aufstellung des Princips der allgemeinen Schwere, a priori, dass alle, von der anziehenden Kraft der Sonne regierten Körper in Kegelschnitten sich bewegen müssen, von denen uns die Planeten zwar nur eine Art, nämlich die Ellipsen zeigen, während die übrigen Arten, Parabeln und Hyperbeln, für gleich möglich gehalten werden müssen, falls nur Körper da sind, die der Kraft der Sonne mit der erforderlichen Geschwindigkeit entgegentreten; dass die Sonne stets den einen Brennpunkt des Kegelschnitts einnimmt; dass die Flächen, welche derselbe Körper in verschiedenen Zeiten um die Sonne beschreibt, diesen Zeiten proportional sind, und dass endlich die von verschiedenen Körpern in gleichen Zeiten um die Sonne beschriebenen Flächen sich wie die Quadratwurzeln der Halbparameter der Bahnen verhalten. Dies letztere Gesetz, welches bei der elliptischen Bewegung identisch mit dem letzten Kepler′schen Gesetze ist, erstreckt sich auch auf die parabolische und hyperbolische Bewegung, auf welche das Kepler′sche in Ermangelung der Umlaufszeiten sich nicht anwenden lässt. Jetzt war der Faden gefunden, unter dessen Leitung es möglich wurde, in das vorher unzugängliche Labyrinth der Cometenbewegungen einzudringen. Dies gelang so glücklich, dass zur Erklärung aller genau beobachteten Cometenbewegungen die einzige Hypothese, dass ihre Bahnen parabolisch seien, genügt. So hatte das System der allgemeinen Schwere der Analysis neue und glänzende Triumphe bereitet, und die Cometen, die bis dahin ungebändigt waren, oder die, wenn sie besiegt schienen, bald aufständisch und rebellisch wurden, liessen sich den Zügel anlegen, wurden Freunde aus Feinden und verfolgten ihren Weg in den von der Rechnung vorgezeichneten Bahnen, denselben ewigen Gesetzen wie die Planeten gläubig gehorchend. Nun entstanden bei der Bestimmung der parabolischen Cometenbahnen aus den Beobachtungen weit grössere Schwierigkeiten, als bei Berechnung der elliptischen Planetenbahnen, hauptsächlich deshalb, weil die Cometen vermöge des kürzeren Zeitraumes ihrer Sichtbarkeit eine Auswahl von zu diesem oder jenem bequemen Beobachtungen nicht gestatteten, sondern den Geometer zwangen, diejenigen Beobachtungen zu benutzen, die der Zufall dargeboten hatte, so dass man die besondern, bei den Planetenrechnungen angewandten Methoden kaum jemals gebrauchen konnte. Selbst der grosse Newton, der erste Geometer seines Jahrhunderts, verkannte die Schwierigkeit des Problems nicht, ging aber doch, wie sich das erwarten liess, auch aus diesem Kampfe siegreich hervor. Viele Geometer nach Newton wendeten ihre Bestrebungen diesem Probleme, wenn gleich mit verschiedenem Glücke, doch so zu, dass unseren Zeiten wenig zu wünschen übrig geblieben ist. Man darf vor allen Dingen nicht ausser Acht lassen, dass auch bei diesem Probleme die Schwierigkeit glücklicher Weise durch die Kenntniss eines Elementes des Kegelschnittes vermindert wird, indem eben durch Voraussetznng einer parabolischen Bahn die grosse Axe als unendlich gross gesetzt wird. Denn alle Parabeln, wenn man von ihrer Lage absieht, unterscheiden sich von einander lediglich durch den grösseren oder kleineren Abstand ihres Scheitels vom Brennpunkte, während die Kegelschnitte, allgemein betrachtet, eine unendlich grössere Verschiedenheit zulassen. Zwar war kein genügender Grund zu der Annahme vorhanden, weshalb die Lauflinien der Cometen mit absoluter Genauigkeit parabolisch sein sollten; ja es war vielmehr unendlich wenig wahrscheinlich, dass die Natur jemals in eine solche Voraussetzung eingewilligt habe. Dennoch aber stand es fest, dass die Erscheinung eines Himmelskörpers, der sich in einer Ellipse oder Hyperbel bewegt, deren grosse Axe im Verhältniss zum Parameter ausserordentlich lang ist, in der Nähe des Perihels sehr wenig von der Bewegung in einer Parabel abweicht, die einen gleichen Abstand des Scheitels vom Brennpunkte hat, und dass dieser Unterschied um so kleiner herauskommt, je grösser jenes Verhältniss der Axe zum Parameter ist. Da ferner die Erfahrung gelehrt hatte, dass zwischen der beobachteten Bewegung und der für die parabolische Bahn berechneten Bewegung kaum jemals grössere Unterschiede übrig bleiben, als mit Sicherheit auf die Beobachtungsfehler (die hier gemeiniglich merklich genug sind) geschoben werden können, so hielten es die Astronomen für angemessen, bei der Parabel stehen zu bleiben. Und zwar mit Recht, da es an Hülfsmitteln fehlte, aus denen sich mit hinreichender Sicherheit schliessen liess, ob überhaupt und wie gross der Unterschied von der Parabel war. Ausnehmen muss man dabei den bekannten Halley′schen Cometen, der, als eine sehr gestreckte Ellipse beschreibend und in seiner Rückkehr zum Perihele mehrfach beobachtet, uns eine periodische Umlaufszeit offenbarte. Dann aber ist, wenn Solchergestalt die grosse Axe bekannt wird, die Berechnung der übrigen Elemente kaum für schwieriger zu halten, als eine parabolische Bahnbestimmung. Ich kann zwar nicht mit Stillschweigen übergehen, dass die Astronomen auch bei einigen anderen, etwas längere Zeit hindurch beobachteten Cometen die Bestimmung der Abweichung von der Parabel versucht haben. Aber alle zu dem Ende vorgeschlagenen oder angewandten Methoden stützen sich auf die Voraussetzung, dass die Abweichung von der Parabel nicht beträchtlich ist, wodurch dann in jenen Versuchen die vorher schon berechnete Parabel selbst eingenäherte Kenntniss der einzelnen Elemente (mit Ausnahme der grossen Axe oder der hiervon abhängenden Umlaufszeit) liefert, die dann nur durch kleine Aenderungen verbessert wird. Ausserdem muss man gestehen, dass alle die fraglichen Versuche - wenn man vielleicht den Cometen des Jahres 1770 ausnimmt - kaum je etwas Sicheres zu entscheiden vermocht haben. Sobald man erkannte, wie die Bewegung des neuen, im Jahre 1781 entdeckten Planeten sich mit der parabolischen Hypothese nicht vereinigen lasse, begannen die Astronomen, ihr eine Kreisbahn anzupassen: eine Arbeit, die sich durch eine sehr leichte und einfache Rechnung erledigen lässt. Durch ein glückliches Geschick besass die Bahn dieses Planeten nur eine mässige Excentricität, und so gaben die unter jener Voraussetzung herausgebrachten Elemente wenigstens irgendwelche Annäherung, auf welche nachher die Bestimmung der e1liptischen Elemente sich stützen liess. Es traten noch mehre andere Glücksfälle hinzu. Denn die langsame Bewegung des Planeten und die geringe Neigung seiner Bahn gegen die Ebene der Ecliptik vereinfachten nicht nur die Rechnungen ausserordentlich und gestatteten die Benutzung besonderer Methoden, die auf andere Fälle nicht anwendbar sind, sondern zerstreuten zugleich die Besorgniss, dass der, in die Sonnenstrahlen eingetauchte Planet nachher die Bemühungen der Aufsucher vereiteln würde (eine Besorgniss, die sonst allerdings, besonders wenn überdies sein Licht weniger lebhaft gewesen wäre, hätte beunruhigen können). So konnte man denn mit Sicherheit eine genauere Bahnbestimmung bis dahin aufschieben, dass aus häufigeren und entfernteren Beobachtungen diejenigen sich auswählen liessen, welche zu diesem Zwecke besonders geeignet erschienen. In allen Fällen daher, wo man die Bahn eines Himmelskörpers aus den Beobachtungen herleiten musste, existirten gewisse, nicht zu verachtende Vortheile, welche die Anwendung besonderer Methoden anriethen oder doch wenigstens erlaubten, und unter diesen Vortheilen war der vorzüglichste der, dass durch hypothetische Annahmen sich bereits eine genäherte Kenntniss gewisser Elemente erlangen liess, bevor man die Berechnung der elliptischen Elemente unternahm. Nichtsdestoweniger erscheint es wunderbar genug, dass das allgemeine Problem: "Die Bahn eines Himmelskörpers ohne jede hypothetische Voraussetzung aus Beobachtungen zu bestimmen, die keinen (VIII) grossen Zeitraum umfassen und daher eine Wahl für die Anwendung besonderer Methoden nicht gestatten," bis zum Beginn dieses Jahrhunderts fast ganz vernachlässigt oder wenigstens von Niemandem mit Strenge und Würde behandelt ist, da es sich mindestens den Theoretikern wegen seiner Schwierigkeit und Eleganz hätte empfehlen können , wenn auch den Praktikern seine höchste Nützlichkeit noch nicht bekannt gewesen wäre. Es hatte sich aber bei Allen die sicher schlecht begründete Meinung eingebürgert, dass eine solche vollständige Bestimmung aus einen kürzeren Zeitraum umfassenden Beobachtungen unmöglich sei, während es gegenwärtig bereits völlig sicher ist, dass sich die Bahn eines Himmelskörpers aus guten, nur wenige Tage umfassenden Beobachtungen ohne jede hypothetische Voraussetzung schon hinreichend genähert bestimmen lässt. Ich war auf gewisse Ideen verfallen, die zur Auflösung dieses grossen eben besprochenen Problems beitragen konnten, als ich im Monate September 1801, mit einer ganz verschiedenartigen Arbeit beschäftigt war. Nicht selten lässt man es in einem solchen Falle, um nicht zu sehr von einer angenehmen Untersuchung abgezogen zu werden, dahin kommen, dass Ideen- Verbindungen, die bei einer aufmerksameren Prüfung die reichsten Früchte hätten tragen können, durch Vernachlässigung untergehen. Vielleicht hätte auch diesen Ideen das nämliche Schicksal bevorgestanden, wenn sie nicht glücklicher Weise in eine Zeit gefallen wären, die nicht besser zu ihrer Bewahrung und Begünstigung hätte gewählt werden können. Um jene Zeit nämlich ungefähr flog das Gerücht von der am 1. Januar jenes Jahres auf der Sternwarte zu Palermo geschehenen Entdeckung eines neuen Planeten durch Aller Mund, und bald gelangten die seit jener Epoche bis zum 11. Februar von dem ausgezeichneten Astronomen Piazzi angestellten Beobachtungen zur öffentlichen Kunde. Nirgends findet man sicher in den Annalen der Astronomie eine so wichtige Gelegenheit, und sie hätte kaum wichtiger ausgedacht werden können, um die hohe Bedeutung des fraglichen Problems auf das deutlichste zu zeigen, als bei einer so grossen Probe und der drängenden Nothwendigkeit, wo alle Hoffnung, ein planerisches Atom nach Verlauf ungefähr eines Jahres unter den unzähligen kleinen Sternen des Himmels wieder zu finden, einzig und a11ein von der Erkenntniss einer hinreichend genäherten Bahn abhing, die lediglich auf jene sehr wenigen Beobachtungen gestutzt werden musste. Hätte ich je in gelegener Weise eine Probe anstellen können, was meine Ideen für den praktischen Gebrauch werth waren, als wenn ich sie damals zur Bahnbestimmung für die Ceres anwandte, für einen Planeten, der innerhalb jener 41 Tage einen geocentrischen Bogen von nur drei Graden beschrieben hatte, und der nach Ablauf eines Jahres an einer, weit von dort abgelegenen Region des Himmels aufgesucht werden musste? Die erste Anwendung dieser Methode ist im Monate October 1801 gemacht, und die erste heitere Nacht, in welcher der Planet nach Anleitung der daraus abgeleiteten Zahlen gesucht wurde (December 7. 1801 von Herrn von Zach) gab den Flüchtling den Beobachtungen wieder. Drei andere neue Planeten sind seit der Zeit entdeckt, und haben neue Gelegenheiten geboten, die Wirksamkeit und die Allgerneinheit der Methode zu prüfen und zu bestätigen. Gleich nach Wiederauffindung der Ceres wünschten mehre Astronomen, dass ich die bei jenen Rechnungen angewandten Methoden öffentlich bekannt machen möge. Mehre Hindernisse standen aber entgegen, als dass ich schon damals diesen freundschaftlichen Aufforderungen hätte willfahren können: andere Geschäfte, der "Wunsch, die Sache noch etwas ausführlicher durchzuarbeiten und vorzüglich die Erwartung, dass sich bei fortgesetzter Beschäftigung mit dieser Untersuchung verschiedene Theile der Auflösung zur Höhe grösserer Allgerneinheit, Einfachheit und Eleganz würden erheben lassen. Da mich diese Hoffnung nicht getäuscht hat, so glaube ich nicht, dass ich diesen Verzug zu bereuen habe. Denn die anfangs angewandten Methoden′′) haben zu wiederholten Malen so häufige und so grosse Aenderungen erlitten, dass zwischen der Art, wie damals die Ceres-Bahn gerechnet ist, und der in diesem Werke behandelten Einrichtung kaum die Spur einer Aehnlichkeit geblieben ist. Obgleich es nun nicht meine Absicht ist, über alle diese allmählich mehr und mehr vollendeten Untersuchungen eine vollständige Schilderung zu schreiben, so habe ich doch bei mehren Gelegenheiten, namentlich wo es sich um eine schwierigere Aufgabe handelte, geglaubt, die früheren Methoden nicht allenthalben unterdrücken zu sollen. Ich habe vielmehr, abgesehen von den Lösungen der Hauptaufgaben, sehr Vieles, was während einer hinreichend langen Beschäftigung mit der Bewegung der Himmelskörper in Kegelschnitten, entweder der analytischen Eleganz halber, oder vorzugsweise des praktischen Gebrauchs wegen , als Bemerkenswerthes sich mir darbot, in diesem Werke ausgeführt. Stets jedoch habe ich den mir eigenen Sachen oder Methoden eine grössere Sorgfalt gewidmet, das Bekannte aber nur leichthin berührt, wo es der Zusammenhang der Sache zu erfordern schien. Das ganze Werk ist in zwei Theile zerlegt. Im ersten Buche werden die Relationen unter den Grössen entwickelt, von welchen die Bewegung der Himmelskörper um die Sonne nach den Kepler′schen Gesetzen abhängig ist, und zwar in den zwei ersten Abschnitten diejenigen Relationen, wo nur ein einziger Ort an und für sich betrachtet wird, im dritten und vierten Abschnitte aber diejenigen, wo mehre Orte unter sich in Verbindung gebracht werden. Letztere beiden Abschnitte enthalten die Auseinandersetzung von Methoden, sowohl der gewöhnlich gebräuchlichen, als auch vorzüglich einiger anderen, die, wenn ich nicht irre, zum praktischen Gebrauche weit vorzuziehen sind, durch welche man von den bekannten Elementen zu den Erscheinungen übergeht. Diese Aufgaben enthalten vieles sehr Schwierige, was den Weg zu den umgekehrten Operationen anbahnt. Da inzwischen die Erscheinungen aus der künstlichen und intricaten Verwickelung der Elemente zusammengesetzt sind, so muss man dies Gewebe von Grund aus durchblickt haben, ehe man mit Hoffnung auf Erfolg die Entwicklung der Fäden und die Auflösung des Werks in seine Bestandtheile unternehmen kann. Im ersten Buche werden daher die Instrumente und Hülfsmittel zusammengebracht, womit sodann im zweiten Buche dies schwierige Geschäft selbst vollbracht wird. Ein sehr grosser Theil der Arbeit besteht dann darin, dass jene Hülfsmittel gehörig gesammelt, in eine schickliche Anordnung gebracht und auf das vorgesteckte Ziel gerichtet werden. Die schwierigeren Aufgaben sind grösstentheils durch passende Beispiele erläutert, die, wo es anging, stets von nicht fingirten Beobachtungen hergenommen sind. So wird nicht nur ein grösseres Vertrauen zu der Wirksamkeit der Methode erweckt, und der Gebrauch klarer vor Augen geführt, sondern ich hoffe auch, solchergestalt versichert zu sein, dass nicht die weniger Geübten von dem Studium dieser Dinge abgeschreckt werden, die zweifelsohne den fruchtbarsten und schönsten Theil der theorischen Astronomie ausmachen. Geschrieben zu Göttingen, den 8. März 1809.
Erstes Buch.
|
||||||||||||||||||||||||||||||||||||||||||||||||||||||||||||||||||||||||||||||||||||||||||||||||||||||||||||||||||||||||||||||||||||||||||||||||||||||||||||||||||||||||||||||||||||||||||||||||||||||||||||||||||||||||||||||||||||||||||||||||||||||||||||||||||||||||||||||||||||||||||||||||||||||||||||||||||||||||||||||||||||||||||||||||||
| log 2·π | 0,798 179 8684 |
| compl. log t | 7,437 402 1852 |
| compl. log √(1+μ) | 9,999 999 3878 |
| log k | 8,235 581 4414 |
| k = 0,0172 020 9895. | |
Die so eben erörterten Gesetze, weichen von den durch Kepler entdeckten nur in der Weise ab, dass sie in einer Form gegeben sind, die eine Anwendung auf alle Arten von Kegelschnitten gestattet, und dass dabei der Einwirkung des bewegten Körpers auf die Sonne, wovon der Factor √(1+μ) abhängt, Rechnung getragen ist. Wenn wir diese Gesetze als Erscheinungen betrachten, die aus unzähligen und unzweifelhaften Beobachtungen sich ergeben haben, so lehrt die Geometrie, welche Einwirkung von der Sonne auf die um Letztere bewegten Körper ausgeübt werden muss, um jene Erscheinungen beständig hervorzubringen. Auf diese Weise findet sich, dass die Einwirkung der Sonne auf die um sie laufenden Körper ganz so ausgeübt wird, als ob eine Anziehungskraft, deren Stärke dem Quadrate der Entfernung wechselseitig proportional wäre, die Körper gegen den Mittelpunkt der Sonne hintriebe. Geht man daher umgekehrt von der Annahme einer solchen Anziehungskraft als von einem Principe aus, so können jene Erscheinungen als nothwendige Folgen daraus abgeleitet werden. Hier mag eine blosse Erwähnung der Gesetze genügen, und es wird um so weniger erforderlich sein, an diesem Orte bei ihrem Zusammenhange mit dem Princip der Schwere zu verweilen, da seit dem grossen Newton noch mehre andere Schriftsteller jene Materie behandelt haben, und unter diesen Laplace in seinem vollendeten Werke "Mécanique Céleste" in einer Weise, die nichts zu wünschen übrig lässt.
Die Untersuchungen der Bewegungen der Himmelskörper, so weit solche in Kegelschnitten vor sich gehen, erfordern keineswegs eine vollständige Theorie dieser Art von Curven, und es wird daher eine einzige allgemeine Gleichung genügen, aus der wir Alles ableiten. Es erscheint deshalb sachgemäss, gerade die Gleichung auszuwählen, auf welche wir als eine charakteristische bei Erforschung der zufolge des Attractionsgesetzes beschriebenen Curve Bezug nehmen. Wenn wir nämlich irgend einen Ort des Körpers in seiner Bahn bezeichnen durch die Abstände x und y von zwei geraden Linien, die in der Ebene der Bahn gezogen sind und im Mittelpunkte der Sonne d. h. in dem einen der beiden Brennpunkte der Curve unter rechten Winkeln sich schneiden; und wenn wir ausserdem die Entfernung eines Körpers von der Sonne (stets positiv genommen) mit r benennen, so haben wir zwischen r, x, y die lineare Gleichung r + α·x + β·y = γ; in welcher α, β, γ; beständige Grössen ausdrücken, und zwar γ; eine Grösse, die ihrer Natur nach stets positiv ist. Indem wir nun die Lage der geraden Linien, auf welche die Abstände x und y sich beziehen, verändern (eine Lage die an und für sich ganz willkürlich ist, wenn es nur dabei bleibt, dass sich die Linien unter rechten Winkeln schneiden), so wird dadurch offenbar die Form der Gleichung und der Werth von γ; nicht geändert, während α und β immer andere und wieder andere Werthe erlangen und man sieht, dass jene Lage so bestimmt werden kann, dass β = 0 wird, α aber wenigstens nicht negativ. — Schreibt man solchergestalt für α und γ; beziehungsweise e und p, so nimmt obige Gleichung die Gestalt an r + e·x = p. Die gerade Linie, auf welche in diesem Falle die Abstände y bezogen werden, heisst die Apsidenlinie, p der halbe Parameter, e die Excentricität, und der betreffende Kegelschnitt wird mit dem Namen Ellipse, Parabel oder Hyperbel bezeichnet, je nachdem e kleiner als die Einheit, gleich der Einheit, oder grösser als die Einheit ist.
Uebrigens sieht man leicht, dass die Lage der Apsidenlinie durch die vorgetragenen Bedingungen vollständig bestimmt ist, den einzigen Fall ausgenommen, wo sowohl α als β schon an und für sich = 0 waren. In diesem Falle wird stets r = p, auf welche geraden Linien die Abstände x und y auch bezogen werden. Indem daher e ebenfalls = 0 ist, so wird die Curve (die dann ein Kreis ist) nach unserer Begriffsbestimmung dem Genus der Ellipsen beizuzählen sein, hat aber das Eigenthümliche, dass die Lage der Apsiden gänzlich willkürlich bleibt, wenn man anders jene Bezeichnung auch auf diesen Fall auszudehnen belieben sollte.
Für den Abstand x wollen wir jetzt den Winkel ν einführen, der zwischen der Apsidenlinie und der geraden Linie (radius vector) enthalten ist, die von der Sonne nach dem Orte des Körpers führt, und zwar möge dieser Winkel von derjenigen Seite der Apsidenlinie beginnen, wo die Abstände x positiv sind. Auch werde angenommen, dass dieser Winkel nach derjenigen Gegend hin wachse, wohin die Bewegung des Körpers gerichtet ist. Auf diese Weise wird x = r·cos ν, und demnach unsere Formel r = 1/(1 + e·cos ν), woraus sich folgende Schlüsse unmittelbar ableiten lassen:
Der Winkel ν, welcher in der Parabel zwischen den Grenzen -180° und +180°, für die Hyperbel innerhalb -(180° - ψ) und +-(180° - ψ) eingeschlossen ist, bei der Ellipse aber den ganzen Kreis in stets erneuten Perioden durchläuft, heisst die wahre Anomalie des bewegten Körpers. Bislang pflegten zwar fast alle Astronomen die wahre Anomalie in der Ellipse nicht vom Perihel, sondern vom Aphel an zu zählen, gegen die Analogie der Parabel und der Hyperbel, in denen es kein Aphel giebt, und man daher vom Perihel anfangen musste. Wir haben indess um so weniger Bedenken getragen, eine Analogie zwischen allen Arten von Kegelschnitten herzustellen, da die neusten französischen Astronomen dazu mit dem Beispiele vorangegangen sind.
Im Uebrigen ist es mitunter dienlich, die Form des Ausdrucks p/(1 + e·cosν) etwas zu ändern. Vorzüglich merke man sich folgende Formeln:



Wir wollen jetzt zur Vergleichung der "Bewegung" mit der "Zeit" schreiten. Wenn man, wie in Art. 1, den innerhalb der Zeit t um die Sonne beschriebenen Flächenraum = ½·g setzt, die Masse des bewegten Körpers = μ (die Sonnenmasse = 1 gesetzt), so haben wir: g = k·t√p·√(1 + μ). Das Differential des Flächenraums aber wird ½r·r·dψ, woraus hervorgeht: k·t√p·√(1 + ψ) = ∫r·r·dν, wobei dies Integral so genommen wird, dass es für t = 0 verschwindet. Diese Integration muss für die verschiedenen Arten von Kegelschnitten auf verschiedene Weise behandelt werden, weshalb wir das Einzelne getrennt betrachten, und den Anfang mit der Ellipse machen wollen.
Da r aus ν mittelst eines Bruches bestimmt wird, dessen Nenner aus zwei Gliedern besteht, so wollen wir vor allen Dingen diese Unbequemlichkeit durch Einführung einer neuen Grösse für ν beseitigen. Zu diesem Zwecke setzen wir

.

;
;
Wenn wir daher die Zeit vom Durchgange durch das Perihel an beginnen lassen, wo ν = 0, E = 0 und daher auch Constans = 0, so haben wir, weil p/(1 - ee)=a,
;Bei dieser Gleichung muss der Hülfswinkel E, welcher die excentrische Anomalie heisst, in Theilen des Halbmessers ausgedrückt werden. Offenbar aber lässt sich dieser Winkel in Graden etc. beibehalten, wenn man nur auch e·sinE und

auf dieselbe Art ausdrückt; diese Grössen werden in Bogensecunden erhalten, wenn man sie durch die Zahl 206264,81 multiplicirt. Der Multiplication der letzteren Grösse bleibt man überhoben, falls man sogleich die Grösse k in Secunden darstellt anwendet, und daher setzen wir an Stelle des früheren Werthes k = 3548″,18761, dessen log = 3,5500065746. — Auf diese Weise ausgedrückt heisst die Grösse

die mittlere Anomalie, die daher im Verhältnis der Zeit wächst und zwar täglich um das Augment
,welches man die mittlere tägliche Bewegung (motus medius diurnus) nennt. — Die mittlere Anomalie bezeichnen wir durch M.
Im Perihele sind daher die wahre Anomalie, die excentrische Anomalie und die mittlere Anomalie = 0. — Indem nun von hieran die wahre Anomalie wächst, so werden auch die excentrische und die mittlere jedoch so vermehrt, dass die excentrische kleiner bleibt, als die wahre, und die mittlere kleiner als die excentrische, bis zum Aphel, wo alle drei zugleich = 180° werden; von hieran aber bis zum Perihel ist die excentrische immer grösser als die wahre, und die mittlere Anomalie grösser als die excentrische, bis im Perihel alle drei = 360° werden, oder was auf dasselbe herauskommt, alle wiederum = 0. Im Allgemeinen ist klar, dass, wenn einer wahren Anomalie ν eine excentrische E und eine mittlere M entspricht, dann einer wahren von 360° - ν eine excentrische von 360° - E und eine mittlere von 360° - M entspricht. Der Unterschied, zwischen der wahren Anomalie und der mittleren ν - M heisst die Gleichung des Mittelpunkts (aequatio centri), welche daher vom Perihel bis zum Aphel positiv, vom Aphel bis zum Perihel negativ ist, im Perihele und Aphele selbst aber verschwindet. Da nun also ν und M den vollen Kreis von 0 bis zu 360° in der nämlichen Zeit durchlaufen, so wird die Zeit eines einmaligen Umlaufs, welche auch die periodische Zeit (tempus periodicum) heisst, in Tagen ausgedrückt gefunden, wenn man 360° durch die tägliche Bewegung (k√(1+μ)) / a3/2 dividirt; woraus man sieht, dass für die verschiedenen, um die Sonne revolvirenden Körper die Quadrate der periodischen Umlaufszeiten den Cuben der mittleren Entfernungen proportional sind, in soweit es erlaubt ist, deren Massen, oder vielmehr die Ungleichheit der Massen zu vernachlässigen.
Nun wollen wir die bemerkenswerthesten Relationen zwischen den Anomalien und dem radius vector sammeln, deren Ableitung Niemandem, der nur mittelmässig in der trigonometrischen Analyse bewandert ist, Schwierigkeiten darbieten kann. Die Formeln werden concinner [harmonischer], wenn man für e den Winkel einführt, dessen Sinus = e ist. Wird dieser Winkel mit φ bezeichnet, so hat man:

Die vorzüglichsten Relationen zwischen a, p, r, e, φ, ν, E, M sind folgende:





Verlängert man ein, aus irgend einem Punkte der Ellipse auf die Apsidenlinie gefälltes Perpendikel rückwärts, bis es einen aus dem Mittelpunkte der Ellipse mit dem Halbmesser = a beschriebenen Kreis trifft, so wird die Neigung desjenigen Halbmessers, der dem Einschneidepunkte entspricht, gegen die Apsidenlinie (ähnlich verstanden, wie vorhin für die wahre Anomalie) der excentrischen Anomalie gleich sein, wie sich ohne Mühe aus der Gleichung IX im vorhergehenden Artikel ableiten lässt. Man sieht ferner, dass r·sin ν den Abstand eines jeden Punktes der Ellipse von der Apsidenlinie bezeichnet; und da dieser Abstand nach Gleichung VIII = a·cos φ·sin E ist, so wird er seinen grössten Werth bei E = 90° erreichen, d. h. im Mittelpunkte der Ellipse. Dieser grösste Abstand, der = a·cosφ = p / cos φ = √(a·p) heisst die halbe kleine Axe. Im Brennpunkte der Ellipse, d. h. für ν = 90°, wird jener Abstand offenbar = p, oder gleich dem halben Parameter.
Die Gleichungen des Art. 8 enthalten Alles, was zur Berechnung der excentrischen Anomalie und der mittleren aus der wahren, oder der excentrischen und der wahren aus der mittleren erforderlich ist. Um die excentrische aus der wahren abzuleiten, bedient man sich gewöhnlich der Formel VII. Gemeiniglich jedoch empfiehlt es sich, zu diesem Zwecke die Gleichung X zu benutzen, besonder sobald die Excentricität nicht zu gross ist in welchem Falle E mit grösserer Schärfe aus X berechnet werden kann, als ans VII. Ausserdem hat man bei Anwendung der Gleichung X den Logarithmus des Sinus von E, der in XII gebraucht wird, sofort durch die Gleichung VIII, welcher bei Anwendung von VII erst aus den Tafeln genommen werden müsste; wenn daher bei jener Methode der fragliche Logarithmus gleichfalls den Tafeln entnommen wird, so erlangt man dadurch eine Prüfung für die Richtigkeit der Rechnung. Derartige Rechnungsprüfungen und Bestätigungen sind stets überaus schätzbar, und uns bei denselben Raths zu erholen, wird daher bei allen in diesem Werke abzuhandelnden Methoden, da wo es bequem geschehen kann, unsere eifrige Sorge sein. Zur besseren Erläuterung fügen wir ein vollständig berechnetes Beispiel hinzu:
Gegeben sei ν = 310° 55′ 29″ 64, φ = 14° 12′ 1″ 87, log r = 0,3307640; Gesucht werden: p, a, E und M.
| log sin φ | 9,3897262 | |
| log cos ν | 9,8162877 | |
| 9,2060139 | woraus e·cos ν = 0,1606993 | |
| log (1 + e·cos ν) | 0,0647197 | |
| log r | 0,3307640 | |
| log p | 0,3954837 | |
| log cos φ2 | 9,9730448 | |
| log a | 0,4224389 | |
| log sin ν | 9,8782740- | |
| log √(p/r) | 0,0323598.5 | |
| 9,8459141.5- | ||
| log sin ½φ | 9,0920395 | |
| log sin ½·(ν - E) | 8,9379536.5- | also ½·(ν - E) = -4° 58′ 94″ 94; |
| ν - E = -9° 56′ 45″ 88; E = 320° 52′ 15″ 52 | ||
| Ferner wird | Rechnung für log sin E nach Formel VIII. | ||
| log e | 9,389 7262 | log r⁄p sin ν | 9,8135543 |
| log 206 264,8 | 5,314 4251 | log cos φ | 9,9865224 |
| log e in Sec | 4,704 1513 | log sin E | 9,8000767 |
| log sin E | 9,800 0767 n | ||
| 4,504 2280 n | also e sin E in Sec. = 31932" 14 = 8° 52′ 14 | ||
| und | M = 329° 44′ 66 | Rechnung für log sin E nach Formel VII. | |
| ½ν = 155° 27′ 82 | log tang ½ν | 9,6594579 | |
| 45° - ½φ = 37° 53′ 59" 065 | log tang (45° - ½φ) | 9,8912427 | |
| log tang ½E | 9,5507006 | ||
| woraus ½E = 160° 26′ 7" 76 und E = 320° 52′ 15" 52, wie oben. | |||
Die umgekehrte, unter dem Namen des Kepler'schen Problems berühmte Aufgabe, nämlich aus der mittleren Anomalie die wahre und den radius vector zu finden, kommt weit häufiger zur Frage. Die Astronomen pflegen die Gleichung des Mittelpunktes durch eine unendliche, nach den Sinussen der Winkel M, 2M, 3M etc. fortschreitende Reihe darzustellen, wobei die einzelnen Coefficienten der Sinusse ebenfalls Reihen sind, die nach den Potenzen der Excentricität in's Unendliche fortlaufen. Ich habe es um so weniger für nothwendig erachtet, mich bei dieser von mehrern Schriftstellern entwickelten Formel für die Gleichung des Mittelpunktes hier aufzuhalten, weil sie, wenigstens nach meinem Urtheile, für den praktischen Gebrauch, namentlich wenn die Excentricität nicht sehr klein ist, viel weniger geeignet ist, als die indirecte Methode, welche ich daher in der Form, die mir die bequemste scheint, etwas näher erörtern will.
Die Gleichung XII, E = M + e·sin E, die transcendent ist und eine directe Auflösung nicht zulässt, wird durch Versuche aufgelöst, indem man mit einem genäherten Werthe von E beginnt, der durch geeignete, so oft wiederholte Methoden corrigirt wird, bis er jener Gleichung genau Genüge thut, d. h. entweder mit aller der Genauigkeit, welche die Sinustafeln zulassen, oder doch mit der, welche dem vorgesteckten Ziele entspricht. Wenn nun jene Correctionen nicht blindlings, sondern nach einer sicheren und bestimmten Norm angestellt werden, so besteht kaum ein wesentlicher Unterschied zwischen einer solchen indirecten Methode und der Auflösung durch Reihen, wenn nicht darin, dass bei jener der erste Werth der Unbekannten einigermaassen willkürlich ist, was eher für einen Gewinn gelten kann, da ein schicklich ausgewählter Werth es erlaubt, die Verbesserungen ausserordentlich zu beschleunigen. Setzen wir voraus, dass ε ein genäherter Werth von E sei, und x die jenem hinzuzufügende (in Secunden ausgedrückte) Verbesserung, so dass der Werth E = ε + x unserer Gleichung genau Genüge thut. Man berechne e·sin E in Secunden durch Logarithmen, und bemerke bei dieser Ausführung zugleich aus den Tafeln die Aenderung von log sin ε für 1″ durch die Variation von ε, sowie die Veränderung des log e·sin ε für die Aenderung einer Einheit in der Zahl e·sin ε; diese Veränderungen mögen ohne Rücksicht auf die Zeichen λ, μ sein, wobei es kaum nöthig ist, daran zu erinnern, dass dabei jeder Logarithmus durch gleich viele Decimalstellen ausgedrückt vorausgesetzt wird. Wenn nun schon ε dem wahren Werthe von E bereits so nahe kommt, dass man die Veränderungen des Logarithmus des Sinus von ε bis zu ε + x, und die Veränderungen des Logarithmus der Zahl von e·sin ε bis zu e·sin (ε + x) als einförmige annehmen kann, so lässt sich offenbar setzen: e·sin (ε + x) = e·sin ε ±(λ·x / β), wobei das obere Zeichen für den ersten und vierten Quadranten, das untere für den zweiten und dritten gilt. — Es sei daher ε + x = M + e·sin (ε + x), so wird x = (β / (β -/+ α))·(M + e·sin β - β) und der wahre Werth von E, oder von β + x = M + e·sin β±(α / (β-/+α)·(M + e·sin β - β) wobei die Zeichen in angegebener Weise bestimmt werden. Uebrigens sieht man leicht, dass ohne Rücksicht auf das Zeichen β:α = 1:e·cos β und daher immer β grösser als α, woraus geschlossen wird, dass im ersten und letzten Quadranten M + e·sinβ zwischen β und β + x, dass aber im zweiten und dritten β + x zwischen β und β + x liegt; eine Regel, welche uns der Beachtung der Zeichen überhebt. Weicht der vorausgesetzte Werth von β noch zu sehr von der Wahrheit ab, als dass die vorhin erwähnte Voraussetzung genau genug sein sollte, so wird man wenigstens durch diese Methode einen viel näheren Werth finden, mit welchem man die nämliche Operation noch einmal und so oft es nöthig scheint, zu wiederholen hat. Es ist ohne Weiteres klar, dass, wenn der Unterschied des ersten Werthes für β vom wahren, als eine Grösse der ersten Ordnung angesehen wird, der Fehler des neuen Werthes zur zweiten Ordnung gehört und durch Wiederholung der Operation zur vierten, achten etc. Ordnung heruntergebracht wird. Desto kleiner überdies die Excentricität ist, desto schneller werden die successiven Verbesserungen convergiren.
Ein genäherter Werth für E, von welchem man bei der Rechnung ausgehen kann, wird gemeiniglich zur Hand sein, besonders falls die Aufgabe für mehre Werthe von M zu lösen ist, von denen einige schon absolvirt sind. In Ermangelung aller anderen Hülfsmittel constirt aber wenigstens soviel, dass E zwischen den Grenzen M und M ± e liegen muss (wo e die in Secunden ausgedrückte Excentricität bezeichnet und wobei das obere Zeichen im ersten und zweiten Quadranten, das untere im dritten und vierten genommen wird). Es kann daher für den Anfangswerth von E entweder M, oder ein Werth angenommen werden, der nach irgend welcher Schätzung vermehrt oder vermindert ist. Kaum braucht erwähnt zu werden, dass die erste Rechnung, sobald man von einem wenig genauen Werthe ausgeht, keine ängstliche Genauigkeit erfordert, und dass kleinere Logarithmentafeln, z. B. die von Lalande, völlig ausreichen. Ausserdem kann man zur Bequemlichkeit der Rechnung immer solche Werthe für β wählen, deren Sinus aus den Tafeln selbst ohne Interpolation sich entnehmen lässt, z. B. in Minuten oder in vollen Zehnern der Secunden, je nachdem die angewandten Tafeln in Minuten, oder von zehn zu zehn Secunden fortschreiten. Uebrigens kann Jeder leicht diejenigen Modificationen entwickeln, welche jene Vorschriften für den Fall erleiden, dass die Winkel in der neuen Decimaleintheilung ausgedrückt sind.
Beispiel: Es sei die Excenticität dieselbe wie im Beispiel zu Art. 10. M = 332° 28′ 54" 77. Hier ist daher log e in Secunden = 4,7041513 und deshalb e = 50600" = 14 ° 3′ 20" da nun hier E kleiner sein uss als M, so setzen wir zur ersten Rechnung ε = 326°, wofür man aus den kleineren Tafeln erhält:
| log sin ε | 9,74756 | Veränderung für 1′...19, also λ = 0,312 | ||
| log sin e in Sec, | 4,70415 | |||
| 4,45171 | ||||
| hieraus | e sin ε = -28295" = -7° 51′ 40" | Verändeung des Logarithmus für eine Tafeleinheit, die hier 10" begleicht, 15,25; also μ = 1.525. | ||
| Differirt von ε um 1° 22′ 40" = 4960", folglich 0,312⁄1,213 · 4960" = 1276" = 21′ 16 ". Hiermit wird der verbesserte Werth von E = 324° 37′ 20" - 21′ 16" = 324° 16′ 4", mit welchen man die Rechnung nach grösseren Tafeln wiederholt. | ||||
| log sin ε | 9,7664112 | λ = 29,25 | ||
| log e | 4,7041513 | |||
| 4,4705624 | μ = 146 | |||
| e sin ε = | -29550" 34 = | -8° 12′ 30" 43 | ||
| M + e sin &epsilon | 324° 16′ 24" 43 | |||
| Differirt von ε um | -20" 43. | |||
| Multiplizirt man diese Differenz durch λ⁄(μ-λ) = 29,25⁄116,75, so erhält man - 5" 12 und daher ist der aufs Neue verbesserte Werth für E = 324° 16′ 24" 43 + 5" 12 = 324° 16′ 29" 55, innerhalb 0" 01 genau. | ||||
Zur Bestimmung der wahren Anomalie und des radius vector aus der excentrischen Anomalie geben die Gleichungen des Art. 8 mehre Methoden an die Hand, von denen wir die vorzüglichsten erläutern wollen.
| ½E = 162° 8′ 14" 75 | log e | 9,3897262 | |
| log tang ½E | 9,5082198 | log cos ν | 9,8496597 |
| log tang (45° - ½φ) | 9,8912427 | 9,2393859 | |
| log tang ½ν | 9,6169771 | e cos ν | = 0,1735345 |
| ½ν = 157° 30′ 41" 50 | log p | 0,3954837 | |
| ν = 315° 1′ 23,00 | log (1 + e cos ν) | 0,0694959 | |
| log r | 0,3259878 | ||
| In underem Beispiel haben wir e = 0,2453162, | |||
| log sin½E | 9,4867632 | log cos½E | 9,9785435 |
| log√a(1+e) | 0,2588593 | log√a(1-e) | 0,1501020 |
| Hieraus | |||
| log sin ½ν√r | 9,7456225 | log tang ½ν | 9,6169771 |
| log cos ½ν√r | 0,1286454 | ½ν = | 157° 30′ 41" 50 |
| log cos ½ν | 9,9656515 | ν = 315° 1′ 23,00 | |
| log √r | 0,1629939 | ||
| log r | 0,3259878 | ||
| log e | 9,3897262 | log sin E | 9,7663366 |
| log cos E | 9,9094637 | log √(1 - e cosE) | 9,9517744 |
| 9,2991899 | 9,8145622 | ||
| e cos E = | 0,1991544 | log sin ½φ | 9,0920395 |
| log a | 0,4224389 | log sin½(ν - E) | 8,9066017 |
| log (1- e cos E) | 9,9035488 | ½(ν - E) = | - 4° 37′ 33" 24 |
| log r | 0,3259877 | ν - E | -9° 15′ 6" 48 |
| ν = | 315° 1′ 23" 02 | ||
Zur Prüfung der rechnung ist die Formel VIII oder XI sehr bequem, vorzüglich wenn ν und r durch die dritte Methode bestimmt sind. Hier folgt die Rechnung:
| log a⁄r sin E | 9,8627878 | log sin E√a⁄r | 9,8145622 |
| log cos φ | 9,9865224 | log cos ½φ) | 9,9966567 |
| 9,8493102 | 9,8112189 | ||
| log sin ν | 0,8493102 | log sin ½(ν+E) | 9,8112189 |
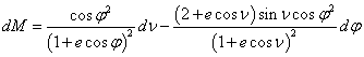
Da die mittlere Anomalie M, wie wir gesehen haben, durch ν und φ vollständig bestimmt wird, und ebenso ν durch M und φ, so is klar, dass, wenn alle drei Grössen zugleich als veränderliche betrachtet werden, unter ihren differentialen Aenderungen eine Bedingungsgleichung Statt finden müsse, deren Erforschung nicht überflüssig erscheint. Indem man zuerst die Gleichung VII im Art. 8 differentiiert, erhält man
; differentiiert man nun auch die Gleichung XII, so folgt dM = (1 - e·cos E) dE - sin E cos φ dφ. Eliminirt man aus diesen Differentialgleichungen dE, so resultiert

oder, falls man für sin E und für 1 - e cos E ihre Werthe aus den Gleichungen VIII und III substituiert:

oder endlich, wenn man jeden Coefficienten nur durch ν und φ ausdrückt:

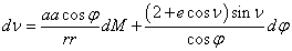
Betrachtet man umgekehrt ν als eine Funktion der Grössen M und φ, so erhält die Gleichung folgende Form:

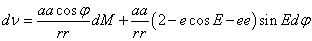
oder durch Einführung von E statt ν

Der radius vector r wird durch ν und φ oder durch M und φ noch nicht vollständig bestimmt, sondern hängt derselbe überdies von p oder von a ab. Sein Differential besteht daher aus drei Gliedern. Durch Differentiation der Gleichung II im Art. 8 erhält man

Setzt man hier dp ⁄ p = da ⁄ a - 2 · tan φ dφ, (was aus der Differentiation der Gleichung I folgt) und drückt zufolge des vorhergehenden Artikels ν durch dM und dφ aus, so folgt nach den nöthigen Reductionen
, oder
Uebrigens beruhen diese, sowie die im vorhergehenden Artikel entwickelten Formeln auf der Annahme, dass ν, φ und M oder vielmehr dν, dφ und dM in Theilen des Radius dargestellt werden. Will man also die Veränderungen der Winkel ν, φ, M in Secunden ausdrücken, so muss man entweder diejenigen Theile der Formeln, welche dν, dφ oder dM enthalten, durch 206.264,8 dividiren, oder diejenigen, welche dr, dp oder da enthalten, durch dieselbe Zahl multipliciren. Es werden daher die Formeln des vorhergehenden Artikels, welche in dieser Beziehung homogen sind, einer Aenderung nicht bedürfen.
u. s. w.
© Rainer Stumpe, URL: www.rainerstumpe.de/
Datenschutzerklärung