Startseite    Rechenschieber    Trigonometrie    Navigation    Seezeichen    Sprechfunk    Gezeiten

Gezeitentheorien    Beobachtung    Entstehung    Gravitation    Vorhersagepraxis    Partialtiden    Mondphasen    Terminologie    Bezugaorte    Anschlussorte    Berechn. belieb. Zeit    Näherungsberechn.   

Die Entwicklung der Gezeitentheorien

Foto

Die erste Gezeitentheorie stammt aus Aristoteles griechischer Philosoph (384 - 322) ­scher Zeit. Danach gibt es eine An­zie­hungs­kraft zwi­schen dem Mond und dem Wasser. Bemerkenswert an dieser Tat­sache ist, dass

  1. der Mond für die Gezeiten verantwortlich gemacht wird, und
  2. die Attraktion von Wasser und Mond behauptet wird, die zeitgenössische Esoteriker ja auch kennen.

Im 16. Jahrhundert dann - die Italiener waren die Seehandelsmacht - erklärte Andrea Cesalpino italienischer Philosoph (1519-1603) die Gezeiten in seinem Werk Quaestiones Peripatetica (1571) mit der Erdbewegung, analog der Kreiselbewegung von Wasser in einem geschwenkten Eimer.

Johannes Kepler deutscher Astronom und Mathematiker (1571-1630) fand die Ursache für die Gezeiten in der Planetenbewegung — wo sonst, die Theorie der Planetenbewegung (Keplersche Gesetze) war ja sein Lebenswerk. René Descartes französischer Philosoph, Mathematiker und Naturwissenschaftler (1596-1650) erklärte sie mit einer Reibung des "Äthers" zwischen Erde und Mond. Diese Theorie war schnell widerlegt, denn sie sagte Hochwasser voraus, wenn gar keines eintrat. Galileo Gallilei italienischer Mathematiker, Physiker und Philosoph (1564-1642) gab eine kinematische Erklärung und benutzte die Gezeiten als Beweis für die Erdrotation. Nach seiner Vorstellung bewegt sich die Erde um die Sonne und dreht sich gleichzeitig um sich selbst (richtig). Er nahm an, dass sich die von der Sonne angestrahlte Seite schneller als die Nachtseite bewegt (falsch), und aus den unterschiedlichen Beschleunigungen resultieren die Gezeiten.

Dann kam Isaac Newton englischer Mathematiker, Physiker und Astronom (1642-1727), der erste Naturwissenschaftler in unserem Sinne. Er postu­lierte die Gravitationskraft, eine Anziehung von Massen (Naturgesetz). Erde und Mond bilden ein Gra­vi­ta­tion­system, das um einen Gravitationsmittelpunkt rotiert (das ist der Punkt, an dem die gemeinsamen Massen von Erde und Mond vereinigt sind wenn man von weit her auf die Erde schaut). Dieser Mittel­punkt liegt zwischen Erde und Mond ungefähr 1.600 km unter der Erdoberfläche. Dieses Gra­vi­ta­tions­zentrum wirkt ebenfalls auf das Wasser an der Erdoberfläche. Auf der dem Mond zugewandten Seite wird Ober­flächen­wasser stärker vom Gravitationszentrum angezogen als der Erdmittelpunkt, den es ist ihm näher. Auf der mondabgewandten Seite zieht das Gravitationszentrum stärker am Erdmittelpunkt als am Ober­flächen­wasser. In beiden Fällen entsteht Hochwasser.

Daniel Bernoulli schweizerischer Mathematiker, Physiker und Mediziner (1700-1782) entwickelte diese statische Theorie weiter und nannte sie "Gleich­ge­wichts­theorie". Sie geht von der Annahme aus, dass die Erde gleichmässig von Wasser bedeckt ist und dass der Meeresspiegel sich trägheitslos auf die gezeitenerzeugenden Gravitationskräfte von Mond und Sonne einstellt. Danach müßte die Hubhöhe überall 55 cm betragen. Außerdem würde die Ge­zei­ten­welle der Meridiankulmination des Mondes folgen, was sie offensichtlich nicht tut.

Einen neuen Impuls brachte Pierre-Simon Laplace schweizerischer Mathematiker, Physiker und Mediziner (1749-1827) mit seiner dynamischen Theorie. Er ging davon aus, dass die Erdrotation durch die Trägheit der Wassermassen eine erzwungene Be­we­gung der Ozeane erzeugt, die einer Schwingung mit der Periode der gezeitenerzeugenden Kräfte ent­spricht.

Das 19. Jahrhundert mit seinen Entdeckungen brachte neue Tidendaten, die von der Britischen Ad­mi­ra­lität akribisch gesammelt wurden. Auf der Basis dieser Datensammlung zeichnete William Whewell englischer Philosoph und Naturwissenschaftle (1794-1866) die Stellen gleichzeitiger Gezeitenhöhe in eine Karte. Nun konnte man die Aus­brei­tung der Gezeitenwelle erkennen. Man glaubte an einen Wellenberg, der dem Mond über den süd­lichen Ozean folgt und der am Kap der Guten Hoffnung sekundäre Gezeitenwellen auslöst, die sich dann in den Atlantik ausbreiten. Diese Wellen waren aber nicht nachweisbar.

Sir William Thomson, Lord Kelvin of Largs britischer Physiker (1824-1907) griff die Idee Laplace' wieder auf und entwickelte die harmonische Analyse (1867). Er idealisierte die Gravitationseinflüsse von Mond und Sonne in Partialtiden. Die Pa­ra­me­ter dieser Partialtidenwellen (Amplitude und Frequenz) wurde aus Tidenmessungen entwickelt (semi­empirisches Verfahren). Er entwickelte 1872 einen mechanischen Gezeitenvorhersageapparat und seine Vorhersage, dass die Präzesion der Erdpole (Frequenz 14 Monate) einen Einfluss auf die Gezeiten hat, konnte mit Computeranalysen 1950 bewiesen werden.

Sydney S. Hough britischer Astronom (1870-1923) berücksichtigte in seiner dynamischen Theorie (1879) zusätzlich die Coriolis-Kraft und die Wassertiefe des Meeres. Beide Einfüsse haben einen entscheidenden Einfluss auf die Hubhöhe. Neben diesen Theorien, die von einer wasserbedeckten Erde ausgehen, versuchte Sir George Biddell Airy britischer Mathematiker und Astronom (1801 - 1892) das Problem 1842 durch einfach geformte Becken mit gleichförmiger Tiefe zu lösen. Diese Ar­bei­ten setzten Henry Poincaré französischer Mathematiker, Physiker und Philosoph (1854 - 1912) (1910), Joseph Proudman englische Ozeanograf und Mathematiker (1888-1975) (1936) und Arthur Doodson britischer Ozeanograf (1890 - 1967) fort, die mit gro­ßem mathematischem Aufwand nachweisen konnten, dass die halb- und ganztägigen Partialtiden als Dreh­wellen (Amphidrome) auftreten, deren Lage stark von der Wassertiefe abhängt.

Diese klassischen Gezeitentheorien erklären vieles, lassen aber auch einige Fragen ungeklärt. Die natürlichen Meeresbodenformen lassen eine einheitliche mathematisch exakte Theorie einfach nicht zu. Die Übertragung der 1869 auf dem Genfer See von Francois-Alphonse Forel schweizerischer Arzt, Naturforscher (1841 - 1912) entdeckten Seiches (durch Winddruck und Luftdruckschwankungen verursachte Schaukelwellen) auf abgeschlossene Teil­meere durch Albert Defant österreichischer Geophysiker, Meteorologe und Ozeanograph (1884 - 1974) und Robert Freiherr Daublebsky von Sterneck österreichischer Geophysiker, Geodät und Astronom (1839 - 1910) kann die Gestalt des Meeres­beckens weit­gehend mathematisch berücksichtigen. Damit wurde die Vorhersage der Tiden und Gezeitenströme für Teil­meere (Adria, Rotes Meer, Ärmelkanal, Nordsee) möglich. Das halbempirische Verfahren wurde von Walter Hansen deutscher Geowissenschaftler und Meereskundler (1909 - 1988) 1952 weiterentwickelt und führte zur Ableitung von Gezeitenverhältnissen (Nordsee) aus der Beobachtung von Gezeiten an den Küsten. Es ist so stark parametrisiert, dass es nur noch mit Computern berechnet werden kann. Nach diesem Verfahren arbeitet das BSH.


Beobachtung der Gezeit

Misst man über das Jahr stündlich die Wasserhöhe an einer Küste, und schreibt die Wasserstände mit der Uhrzeit der Messung auf, so beobachtet man folgende Periodizität:

  1. es gibt täglich zwei Hochwasserstände,
  2. eines der beiden täglichen Hochwasser fällt höher aus als das andere, und zwar der dem Mond abgewandte,
  3. die Uhrzeit der gemessenen Hochwasserstände verschiebt sich um etwa ½ Stunde gegenüber dem Vortag,
  4. die relativen Höhen der Hochwasserstände unterliegen einem monatlichen Rhythmus (genauer: einem 28-Tage-Rhythmus), sie folgen etwa den Mondphasen,
  5. im Winter fallen die relativen Höhen der Hochwasserstände höher aus als im Sommer.

Schon die alten Griechen frugen sich: "wie kommt das?" und hatten ihre Theorie: Es liegt am Einfluß von Sonne und Mond. Erst Isaac Newton postulierte eine An­zie­hungs­kraft zwischen Massen, und nannte sie "Gravitation". Damit schien das Problem gelöst; war es aber nicht. Wenn der Mond mit seiner An­zie­hungs­kraft auf die Erde wirkt und die plastische Wasserschicht anhebt, warum gibt es dann zwei Hoch­wasser­stände pro Tag? Er steht doch nur einmal über einem Ort an der Küste.

So einfach ist auch die Newtonsche Physik nicht. Das Prinzip von actio und reactio gilt nur in einem System, in dem keine anderen Kräfte wirken. Da sich Erde und Mond um sich selbst und umeinander drehen, gibt es außer der Gravitation noch die Zentri­fugal­kräfte. Und die Drehimpulse von Erde und Mond, die das Ganze noch verkomplizieren.

Wie entwickeln sich die Wasserhöhen im Monatsverlauf? Ich habe für Gibraltar (36° 08' N, 005° 21' W) eine Tiden­tabelle beim Proudman Oceanographic Laboratory gefunden. Die Hoch- und Niedrig­wasser­zeiten und -höhen habe ich mit den Mond­sicht­bar­keiten zusammen für die Monate Mai und September 2007 in Dia­grammen dargestellt. (Größere Bilder durch Klick!)

Im linken Bild sind die relativen Höhen und die Mondsichtbarkeit für den Monat Mai, im rechten für den Monat September aufgetragen. Die blauen Rauten sind jeweils das erste Hoch- bzw. Niedrigwasser, die roten Dreiecke das jeweils zweite Hoch- bzw. Niedrigwasser des Tages, die zugehörige Wasserhöhe über dem tiefsten mittleren Wasserstand liest man auf der linken Achse ab. Überlagert ist das Bild mit dem Mond (gelber Kreis), dessen Sichtbarkeit in Prozent auf der rechten Achse ablesbar ist. Null Prozent be­deu­tet Neumond, 100 % bedeutet Vollmond.

Wie entstehen die Gezeiten?

Welche der oben angeführten Theorien ist richtig? Sehen wir uns die Newtonsche Theorie näher an.

Der Schlüssel liegt in Newtons Theorie der Kreisbewegung (De Motu Corporum in Gyrum). In dem System Mond-Erde-Sonne gibt es drei zu berücksichtigende Drehimpulse 𝕵:

  1. Die Drehung der Erde um sich selbst (Kreisel),
  2. den Umlauf der Erde um die Sonne,
  3. Den Umlauf des Mondes um die Erde.

Die Erddrehung

Die Drehung der Erde erzeugt am Rande einen Bahndrehimpuls 𝕵:

Drehimpuls Skizze

Den Bewegungsvektor 𝖕, der tangential zur Bahn gerichtet ist, zerlegt man nach den Regeln der Verktorrechnung in die radiale Komponente 𝖕𝖗 und die darauf senkrechstehende 𝖕. Die radiale Komponente nennt Newton Fliehkraft. Bei einer rotierenden Kugel mit einem Radius größer als 0 ist die Fliehkraft am Äquator am größten, sie nimmt mit dem Cosinus der Breite ab, und ist am Pol gleich Null. Als Folge vermutete Newton richtig eine Abplattung des Erdballs an den Polen, also die Gestalt eines Rotationsellipsoid statt einer Kugel. Und da Wasser leicht verformbar ist, bildet sich eine Wulst, die am Äquator am stärcksten augebildet ist.

Das Drehsystem Erde-Mond

Als nächstes betrachten wir das System Erde-Mond wegen der Abhängigkeit der Gezeiten von den Mondphasen. Erde und Mond drehen sich um den gemeinsamen Schwerpunkt der Massen. Die Skizze zeigt schematisch das System. Nur die Fliehkräfte wirken. Die Rotationsachse des Gesamt­systems ist rot gefärbt (beachte: die Erdachse ist um 5,145° gegen die Verbindungslinie Erde-Mond ge­neigt!). Die roten Pfeile markieren die Fliehkräfte F1 und F2, die auf der Erdoberfläche wirken. Man sieht: es gibt eine größere Kraft vom Mond weg, und eine kleinere zum Mond hin, weil eben der Abstände zur Ro­ta­tions­achse unterschiedlich groß sind. Damit ist erklärt, warum die Tide auf der Mond abgewandten Seite der Erde höher ausfällt.

  • Erde-Mond

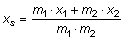
Der Schwerpunkt des Systems liegt auf der Verbindungslinie zwischen den Mittelpunkten von Erde und Mond, sodass es wie eine Waage im Gleichgewicht ist, wenn man das System nur an dieser Stelle unter­stützt. Nach den Hebelgesetzen muss daher gelten: r1 · m1 = r2 · m2, oder:

  • Formel
  • umgeformt erhält man für den Abstand des Schwerpunktes vom Erdmittelpunkt:
  • Formel

Legen wir den Bezugspunkt in den Mittelpunkt der Erde, wird x1 = 0 und x2 = r. Mit den Massen von Erde m1 und Mond m2 und ihrem Abstand r rechnen wir jetzt den Abstand des Schwerpunktes vom Erdmittelpunkt aus.

  • Formel

Der Abstand des Schwerpunktes im System Erde-Mond hat einen Abstand von 4.671,5 km vom Erdmittelpunkt, die Erdoberfläche hat aber einen von 6.378 km. Der Schwerpunkt liegt also etwa 1.700 km unter der Erdoberfläche!

Das Drehsystem Erde-Sonne.

Der dritte zu betrachtende Drehimpuls entsteht durch den Umlauf der Erde um die Sonne. Die Abbildung sieht änlich aus, allerdings ist die Erdachse gegenüber der Verbindungslinie der Mittelpunkte von Sonne und Erde um um 23,436° geneigt. Die Drehachse in dem System liegt tirf im Innern der Sonne (Berechnung wie oben). Wegen des Durchmessers der Erde gibt es zwei verschieden starke Fliehkräfte: die schwächere zur der Sonne zugewandten Oberfläche, die stärkere zur sonnenabgewandten Seite.

  • Erde-Mond
Da der Fliegkraftvektor zur abgewandten Seite der Erde auch hier um den Erddurchmesser läger ist als der zur zugewandten, resultiert eine höheres Hochwasser auf der abgewandten Seite.

Die Wirkung der Gravitation

Damit die Rotationssysteme stabil sind, muss nach Newtons Theorie eine Gegenkraft wirken, die sie zusammenhält: die Gravitation. Sie wirkt entlang der gleichen Verbindungslinien, aber in entgegengesetzter Richtung. Die Gravitation ist eine auf die Ferne wirkende Kraft, die von den beteiligten Massen abhängt:

  • Formel
  • (Gravitationskonstante γ = 6,6726 · 10-11 N · m2 · kg-2)

Sie nimmt mit dem Quadrat der Entfernung ab, was die relativ höheren Hochwasserstände im Winter auf der Nordhalbkugel erklärt, denn dann ist der Abstand der Erde von der Sonne am kürzesten.

  • Skizze

Die Gravitation wirkt wegen der Schiefe der Ekliptik verzerrend auf die von der Erdrotation erzeugte Wasserwulst und hebt das Maximum der Wassertiefe in Richtung der Pole. Dabei hinkt die anziehende Wirkung des Monds täglich 13° hinter der der Sonne her. Das hat zur Folge, dass das Hochwasser sich um knapp 30 min. "verspätet".

Die absolute Höhe der Gezeit kann nicht berechnet werden. Die relative folgt nur auf dem offenen Meer dem hier dargestellten Mechanimus, wenn das Wasser frei abfließen kann; man spricht von astronomischer Gezeit. Sobald der Wellenberg auf eine Küste trifft, kommt es zu einem Stau und die Wasserhöhe gleicht sich durch seitleiche Strömungen aus. Je nach Küstenform kann die Vorhersage der Wasserhöhe zu einer bestimmten Zeit herausfordernd sein. Man hilft sich durch semiempirische Verfahren.



Startseite    Rechenschieber    Trigonometrie    Navigation    Seezeichen    Sprechfunk    Gezeiten

Gezeitentheorien    Beobachtung    Entstehung    Gravitation    Vorhersagepraxis    Partialtiden    Mondphasen    Terminologie    Bezugaorte    Anschlussorte    Berechn. belieb. Zeit    Näherungsberechn.   

Valid HTML

© Rainer Stumpe, URL: www.rainerstumpe.de/
Datenschutzerklärung